LAPORAN
PRAKTIKUM AERODINAMIKA
DISTRIBUSI
KECEPATAN
Disusun
oleh :
Risky
Pratama P (111221025)
RR.
Alvina Rana P (111221026)
Saadilah
Rasyid (111221027)
Tria
Satria (111221028)
Ulfi
Latipah O (111221030)
Yusuf
Adiwinata (111221031)
Zaskia
Azhar Yasmin (111221032)
Kelas
2-Aeronautika
POLITEKNIK
NEGERI BANDUNG
DASAR
TEORI
Venturimeter
merupakan alat ukur aliran fluida yang terdiri dari pipa konvergen dan divergen
(venturi) yang menggunakan prinsip beda ketinggian cairan pada kedua kakinya
akibat perbedaan tekanan.
Pipa venturi merupakan sebuah pipa
yang memiliki penampang bagian tengahnya lebih sempit dan diletakkan mendatar
dengan dilengkapi dengan pipa pengendali untuk mengetahui permukaan air yang
ada sehingga besarnya tekanan dapat diperhitungkan. Dalam pipa venturi ini luas
penampang pipa bagian tepi memiliki penampang yang lebih luas daripada bagian
tengahnya atau diameter pipa bagian tepi lebih besar daripada bagian tengahnya.
Zat cair dialirkan melalui pipa yang penampangnya lebih besar lalu akan
mengalir melalui pipa yang memiliki penampang yang lebi sempit, dengan
demikian, maka akan terjadi perubahan kecepatan.
Tabung pitot (dibaca Pitou sesuai fonologi Prancis)
adalah instrumen untuk melakukan pengukuran tekanan pada aliran fluida.
Tabung pitot ditemukan oleh insinyur berkebangsaan Prancis, Henri Pitot
pada awal abad ke 18, dan dimodifikasi oleh ilmuwan berkebangsaan Prancis, Henry Darcy
di pertengahan abad ke 19. Tabung pitot telah digunakan secara luas untuk
menentukan kecepatan dari pesawat terbang dan mengukur kecepatan udara
dan gas
pada aplikasi industri.
Berbagai tipe tabung pitot
Tabung pitot sederhana terdiri dari tabung yang mengarah
secara langsung ke aliran fluida. Tabung ini berisi fluida, sehingga tekanan
bisa diukur dengan perubahan tinggi dari fluida tersebut. Tekanan stagnasi dari
fluida, juga disebut dengan tekanan total atau tekanan pitot.
Tekanan stagnasi yang terukur tidak bisa digunakan untuk
menentukan kecepatan fluida. Namun, persamaan Bernoulli menyatakan bahwa:
Tekanan stagnasi = Tekanan Statis + Tekanan Dinamis
Tekanan dinamis adalah selisih antara tekanan stagnasi dan
tekanan statis. Tekanan statis diukur menggunakan saluran statis pada salah
satu sisi lubang. Tekanan dinamis ditentukan menggunakan diafragma di dalam
kontainer tertutup. Jika udara pada satu sisi diafragma adalah tekanan statis,
maka sisi yang lain adalah tekanan stagnasi, dan defleksi dari diafragma
proporsional dengan tekanan dinamis.
Prinsip Bernoulli adalah sebuah istilah di dalam mekanika fluida yang menyatakan bahwa pada
suatu aliran fluida, peningkatan pada kecepatan fluida
akan menimbulkan penurunan tekanan pada aliran tersebut. Prinsip ini sebenarnya
merupakan penyederhanaan dari Persamaan Bernoulli yang menyatakan bahwa jumlah
energi pada suatu titik di dalam suatu aliran tertutup sama besarnya dengan
jumlah energi di titik lain pada jalur aliran yang sama. Prinsip ini diambil
dari nama ilmuwan Belanda/Swiss yang bernama Daniel Bernoulli.
Hukum Bernoulli
Dalam bentuknya yang sudah disederhanakan, secara umum terdapat dua bentuk persamaan Bernoulli; yang pertama berlaku untuk aliran tak-termampatkan (incompressible flow), dan yang lain adalah untuk fluida termampatkan (compressible flow).
Aliran Tak-termampatkan
Aliran tak-termampatkan adalah
aliran fluida yang dicirikan dengan tidak berubahnya besaran kerapatan massa
(densitas) dari fluida di sepanjang aliran tersebut. Contoh fluida tak-termampatkan
adalah: air, berbagai jenis minyak, emulsi, dll. Bentuk Persamaan Bernoulli
untuk aliran tak-termampatkan adalah sebagai berikut:
v
= kecepatan fluida
h
= ketinggian relatif terhadap suatu referensi
Persamaan di atas berlaku untuk aliran
tak-termampatkan dengan asumsi-asumsi sebagai berikut:
- Aliran bersifat tunak (steady state)
- Tidak terdapat gesekan (inviscid)
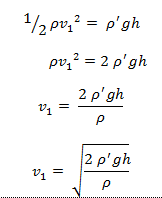
penurunan rumus sehingga didapatkan :
Penentuan
kecepatan di sejumlah titik pada suatu penampang memungkinkan untuk membantu
dalam menentukan besarnya kapasitas aliran sehingga pengukuran kecepatan
merupakan fase yang sangat penting dalam menganalisa suatu aliran fluida.
Kecepatan dapat diperoleh dengan melakukan pengukuran terhadap waktu yang dibutuhkan
suatu partikel yang dikenali untuk bergerak sepanjang jarak yang telah
ditentukan.
Besarnya
kecepatan aliran fluida pada suatu pipa mendekati nol pada dinding pipa dan
mencapai maksimum pada tengah-tengah pipa. Kecepatan biasanya sudah cukup untuk
menempatkan kekeliruan yang tidak serius dalam masalah aliran fluida sehingga
penggunaan kecepatan sesungguhnya adalah pada penampang aliran. Bentuk
kecepatan yang digunakan pada aliran fluida umumnya menunjukkan kecepatan yang
sebenarnya jika tidak ada keterangan lain yang disebutkan.
Besarnya kecepatan akan
mempengaruhi besarnya fluida yang mengalir dalam suatu pipa. Jumlah dari aliran
fluida mungkin dinyatakan sebagai volume, berat atau massa fluida dengan
masing-masing laju aliran ditunjukkan sebagai laju aliran volume (m3/s),
laju aliran berat (N/s) dan laju aliran massa (kg/s).
Kapasitas aliran (Q)
untuk fluida yang incompressible, menurut [1] yaitu :
Q = A . v
Dimana : Q
= laju aliran fluida (m3/s)
A
=
luas penampang aliran (m2)
v
=
kecepatan rata-rata aliran fluida (m/s)
Laju aliran berat fluida (W), menurut [2]
dirumuskan sebagai :
W = γ. A . v
Dimana
: W = laju aliran berat
fluida (N/s)
γ
= berat jenis fluida (N/m3)
Laju
aliran fluida massa (M), menurut [3] dinyatakan sebagai :
M
= . A . v
Dimana
: M = laju aliran massa
fluida (kg/s)
ρ
= massa jenis fluida (kg/m3)
DATA
PERCOBAAN dan PERHITUNGAN DATA
1. Pada
rpm 2100
Micromanometer (tabung pitot)
|
ketinggian (mm)
|
h1
|
h2
|
∆h (mm)
|
∆h (m)
|
v (m/s)
|
|
0
|
24.5
|
25.5
|
1
|
0.001
|
0.125284
|
|
5
|
24.5
|
26
|
1.5
|
0.0015
|
0.153441
|
|
10
|
24.5
|
26.5
|
2
|
0.002
|
0.177178
|
|
15
|
24.5
|
26.8
|
2.3
|
0.0023
|
0.190002
|
|
20
|
24.5
|
27.2
|
2.7
|
0.0027
|
0.205862
|
|
25
|
24.5
|
27.5
|
3
|
0.003
|
0.216998
|
|
30
|
24.5
|
27.5
|
3
|
0.003
|
0.216998
|
|
35
|
24.5
|
27.5
|
3
|
0.003
|
0.216998
|
|
40
|
24.5
|
27.5
|
3
|
0.003
|
0.216998
|
|
45
|
24.5
|
28
|
3.5
|
0.0035
|
0.234384
|
|
50
|
24.5
|
28
|
3.5
|
0.0035
|
0.234384
|
|
55
|
24.5
|
28
|
3.5
|
0.0035
|
0.234384
|
|
60
|
24.5
|
28
|
3.5
|
0.0035
|
0.234384
|
|
65
|
24.5
|
28
|
3.5
|
0.0035
|
0.234384
|
|
70
|
24.5
|
28
|
3.5
|
0.0035
|
0.234384
|
|
75
|
24.5
|
27.8
|
3.3
|
0.0033
|
0.227589
|
|
80
|
24.5
|
27.8
|
3.3
|
0.0033
|
0.227589
|
|
85
|
24.5
|
27.8
|
3.3
|
0.0033
|
0.227589
|
|
90
|
24.5
|
28
|
3.5
|
0.0035
|
0.234384
|
|
95
|
24.5
|
28
|
3.5
|
0.0035
|
0.234384
|
|
100
|
24.5
|
28
|
3.5
|
0.0035
|
0.234384
|
|
105
|
24.5
|
28.2
|
3.7
|
0.0037
|
0.240988
|
|
110
|
24.5
|
28.3
|
3.8
|
0.0038
|
0.244223
|
|
115
|
24.5
|
28
|
3.5
|
0.0035
|
0.234384
|
|
120
|
24.5
|
28.3
|
3.8
|
0.0038
|
0.244223
|
|
125
|
24.5
|
28.5
|
4
|
0.004
|
0.250567
|
|
130
|
24.5
|
28.5
|
4
|
0.004
|
0.250567
|
|
135
|
24.5
|
28.5
|
4
|
0.004
|
0.250567
|
|
140
|
24.5
|
28.5
|
4
|
0.004
|
0.250567
|
|
145
|
24.5
|
28.5
|
4
|
0.004
|
0.250567
|
2. Pada
rpm 2827
Micromanometer (tabung pitot)
|
ketinggian (mm)
|
h1
|
h2
|
∆h (mm)
|
∆h (m)
|
v (m/s)
|
|
0
|
24.5
|
27
|
2.5
|
0.0025
|
0.198091
|
|
5
|
24.5
|
27.4
|
2.9
|
0.0029
|
0.21335
|
|
10
|
24.5
|
27.5
|
3
|
0.003
|
0.216998
|
|
15
|
24.5
|
28.8
|
4.3
|
0.0043
|
0.259794
|
|
20
|
24.5
|
29
|
4.5
|
0.0045
|
0.265767
|
|
25
|
24.5
|
29.5
|
5
|
0.005
|
0.280143
|
|
30
|
24.5
|
29.6
|
5.1
|
0.0051
|
0.28293
|
|
35
|
24.5
|
29.8
|
5.3
|
0.0053
|
0.288425
|
|
40
|
24.5
|
30
|
5.5
|
0.0055
|
0.293816
|
|
45
|
24.5
|
30.2
|
5.7
|
0.0057
|
0.299111
|
|
50
|
24.5
|
30.3
|
5.8
|
0.0058
|
0.301723
|
|
55
|
24.5
|
30.4
|
5.9
|
0.0059
|
0.304313
|
|
60
|
24.5
|
30.2
|
5.7
|
0.0057
|
0.299111
|
|
65
|
24.5
|
30
|
5.5
|
0.0055
|
0.293816
|
|
70
|
24.5
|
30
|
5.5
|
0.0055
|
0.293816
|
|
75
|
24.5
|
30
|
5.5
|
0.0055
|
0.293816
|
|
80
|
24.5
|
29.9
|
5.4
|
0.0054
|
0.291133
|
|
85
|
24.5
|
30
|
5.5
|
0.0055
|
0.293816
|
|
90
|
24.5
|
30.1
|
5.6
|
0.0056
|
0.296475
|
|
95
|
24.5
|
30.2
|
5.7
|
0.0057
|
0.299111
|
|
100
|
24.5
|
30.5
|
6
|
0.006
|
0.306881
|
|
105
|
24.5
|
30.7
|
6.2
|
0.0062
|
0.311954
|
|
110
|
24.5
|
30.8
|
6.3
|
0.0063
|
0.31446
|
|
115
|
24.5
|
31
|
6.5
|
0.0065
|
0.319412
|
|
120
|
24.5
|
31
|
6.5
|
0.0065
|
0.319412
|
|
125
|
24.5
|
31
|
6.5
|
0.0065
|
0.319412
|
|
130
|
24.5
|
31.2
|
6.7
|
0.0067
|
0.324289
|
|
135
|
24.5
|
31.3
|
6.8
|
0.0068
|
0.3267
|
|
140
|
24.5
|
31.3
|
6.8
|
0.0068
|
0.3267
|
|
145
|
24.5
|
31.3
|
6.8
|
0.0068
|
0.3267
|
3. Dari
kecepatan yang didapatkan diatas maka bisa dibuat profil kecepatan seperti pada
kurva berikut :
·
Pada rpm 2100
·
Pada rpm 2827
ANALISIS
DATA
Saat
praktikum, kami hanya memindahkan ketinggian pitot tube setengah dari diameter
pipa, data yang didapatkan dari setengah
pipa ini sudah bisa mewakili keseluruhan , ini terjadi karena pipa merupakan
sebuah benda yang simetris sehingga data yang dihasilkan dari sumbu pipa ke
atas dan sumbu pipa kebawah akan sama, oleh karena itu kami tidak melakukan
pengambilan data secara keseluruhan.
Dari
tabel, terlihat bahwa kecepatan udara pada rpm 1 (2100) lebih kecil daripada
kecepatan udara pada rpm 2 (2827). Ini
menunjukkkan bahwa rpm berpengaruh terhadap kecepatan udara, yaitu semakin
kecil rpm akan semakin kecil pula kecepatan udaranya, begitupun sebaliknya.
Dari
tabel, terlihat bahwa kecepatan udara pada rpm 1 (2100) dan rpm 2 (2827) saat
pitot tube semakin turun (semakin mendekati pusat dari pipa) rata-rata adalah
semakin besar, hal ini terjadi karena semakin berkurangnya gaya gesek dari
dinding pipa. namun ada juga kecepatan
pitot pada ketinggian tertentu yang justru turun, contohnya pada saat pitot
tube diturunkan sebanyak 65 mm kecepatannya adalah 0.2344 m/s namun saat pitot
tube diturunkan lagi 5 mm kecepatannya malah berkurang menjadi 0.2276 (pada rpm
2100) hal ini bisa saja terjadi karena
Ditinjau
dari profil kecepatan, terlihat bahwa aliran pada pipa adalah aliran laminar. aliran
laminar adalah aliran fluida yang bergerak dengan kondisi lapisan-lapisan yang
membentuk garis-garis alir. Alirannya relatif mempunyai kecepatan rendah dan
fluidanya bergerak sejajar (laminae) & mempunyai batasan-batasan yang
berisi aliran fluida.
KESIMPULAN
Berdasarkan
praktikum yang kami lakukan, didapatkan bahwa :
·
besarnya kecepatan aliran udara pada suatu pipa
mendekati nol pada dinding pipa dan mencapai maksimum pada daerah sekitar tengah-tengah
pipa
·
Semakin tinggi rpm maka semakin tinggi pula
kecepatannya
·
Aliran udara pada pipa merupakan aliran laminar
DAFTAR
PUSTAKA






Tidak ada komentar:
Posting Komentar